فضایی برای ایجاد کار آنلاین و مجازی
پیوندهای روزانه
لینک های دوستان
برچسب ها
درباره وب

با سلام
در این وبلاگ ایجاد کار و پروژه برای نویسنده ها به شیوۀ خودشون برای کسب درآمدزایی و تخصصی که دارند می باشد....
یعنی هر کس هر تخصص و هنری ..داره در این وبلاگ به اشتراک بگذاره و ایمیل و راه های تماسش هم برای کسب درآمد بزاره تا کاربران اگه کاری در این زمینه داشتند با نویسنده و کارمندان این وبلاگ هماهنگی کنند
نویسنده ها نمونه کارهاشون در هر موقع خواستند بزارند یا ایجاد موضوع و نمونه کار در زمینه ایی یا ایجاد پروژه که در قسمت موضوعات (ایجاد پروژه) توضیح ایجاد پروژه هست که هر تخصصی دارند...
ایجاد موضوع و برچسب هم خود نویسنده می تونه ایجاد کنه
برای نویسندگی و کار در این وبلاگ و تبادل لینک خبر بدید
و آدرس وبتون رو هم حتما بفرستید
برای ثبت سفارش و هماهنگی مورد نظر با نویسنده های وب هماهنگی کنید:))
برای ارتباط و ثبت سفارش در قسمت موضوعات "فرم تماس و ثبت سفارش" رو بزنید و آپلود کنید فایلتون رو به فرم تماس بفرستید تا به ایمیل بیاد و سفارش شما انجام بشه (هر نویسندۀ این وب خواست می تونه این ابزار تماس برای ثبت سفارش خودش از سایت پارس تولز بگیره و در قسمت موضوعات بزاره یعنی کافیه فقط ایمیل خودش رو به ابزار بده تا به هر کس خصوصی خواستند سفارش بدند برای هر نویسنده این وب به ایمیل شخصیش سفارش مورد نظر بیاد) یا راه هایی ارتباطی خودش هر نویسنده برای ثبت سفارش کاربر بده ....
آدرس پروفایل وب:
http://creatework.blogfa.com/profile
نويسندگان
موضوعات وب
فال حافظ
رتبه الکسا
ویژه اسلاید اسکین
ساعت

ساخت لوگوی شیک و تمیز در WORD برای حالا سربرگ و کارت ویزیت

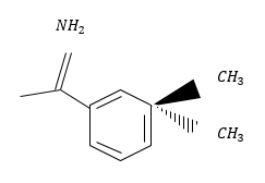
مراحل ساخت فرمول شیمی در WORD

ابتدا از Insert وارد گزینۀ Shaps میشیم و شکل مورد نظر رو انتخاب میکنیم

با این گزینه رنگ و بیرون کادر رنگش رو عوض میکنیم

این هم مراحل خطی کردن شکل در ساختار شیمی

و فلش بالا می چرخانیم در جاش می زاریم

با Shap Outline
هم کادر بیرون رو بی رنگ می کنیم

این شکلی می شه گروپ هم باید برای جلوگیری از بهم ریختگی هم بشه که آموزش گروپ هم در اینستاگرام هست:
https://www.instagram.com/kh.type.paint/
آموزش گروپ و دیگر آموزش ها
https://www.instagram.com/p/CJ7_-uBlTjC/

برای نوشتن و تایپ در داخل کادر مربع روی مربع و شکل رایت کلیک می کنیم و گزینۀ Add Text رو میزنیم

تغییر نام فایل یا عکس..

این هم برای آموزش فشرده سازی فایل و آپلود آن....
موضوعات مرتبط: WORD ، طراحی لوگو ، طراحی گرافیک ، فرمول نویسی ، طراحی کارت ویزیت ، انواع آموزش
برچسبها: آموزش , word
تاريخ : شنبه بیست و سوم مرداد ۱۴۰۰ | 12:10 | نویسنده : شکیبا نعیمی |
آخرین مطالب
جستجو
ذکر ایام هفته
ربات مترجم
آرشیو مطالب
حامیان اسلاید اسکین
امکانات وب





